в гостинице имеются одноместные, двухместные и трехместные номера. Всего номеров 18, а всего мест во всех номерах 34. Одноместных номеров столько, сколько двухместных и трехместных вместе. Сколько двухместных номеров? Запишите решение и ответ
Ответы
Ответ дал:
0
Ответ:
2
Пошаговое объяснение:
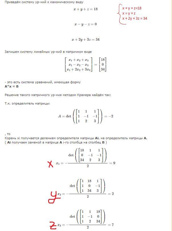
Составим систему уравнений, где x - одноместные, y - двухместные, а z - трехместные.
Тройную систему уравнений будем решать методом Крамера с помощью онлайн калькулятора.
Приложения:

Вас заинтересует
2 года назад
2 года назад
8 лет назад
9 лет назад
9 лет назад