Ответы
Ответ дал:
0
Ответ:
Объяснение:
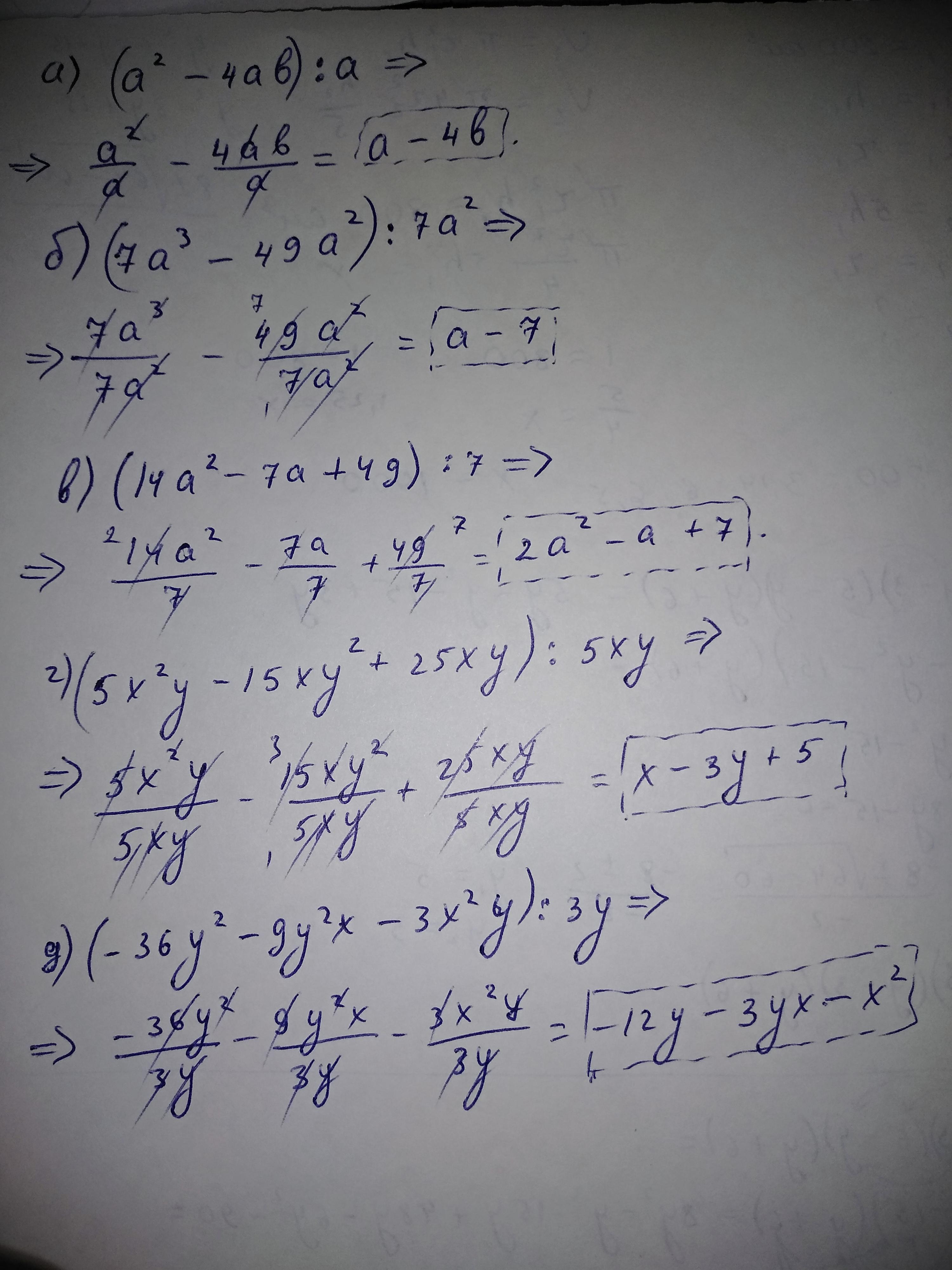
Каждый член делим по отдельности. Ответы выделены.
Приложения:

Ilkhom777:
Что не понятно спрашивай
Вас заинтересует
8 лет назад
9 лет назад