• Предмет: Физика
  • Автор: makarukte
  • Вопрос задан 3 года назад

Решить задачу с ПОЛНЫМ объяснением действий пожалуйста

каковы значения кинетической и потенциальной энергий стрелы массой 50 г, выпущенной из лука со скоростью 30 м/с вертикально вверх, через 2 секунды после начала движения?

Ответы

Ответ дал: umniyanimeshnik
1
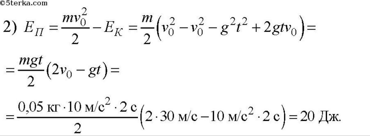
Дано:

m = 50 г = 0,05 кг, v0 = 30 м/с, t = 2 с.

Найти: ЕП , ЕК .

Решение.(на фото)


Ответ: ЕП = 20 Дж, ЕК = 2,5 Дж.
Приложения:

makarukte: Да, Тимур Макарук
makarukte: Специально создал, если поожешь буду очень благодарен
makarukte: и еще 50 баллов докину
umniyanimeshnik: я там по имени не найду
umniyanimeshnik: секунду
umniyanimeshnik: https://youtu.be/nvyKtcziuF4
umniyanimeshnik: таймкод 3:17:41
umniyanimeshnik: там полное объяснение
makarukte: СПАСИБО ОГРОМНОЕ))))
umniyanimeshnik: не за что
Вас заинтересует