• Предмет: Информатика
  • Автор: zaharovilyusha
  • Вопрос задан 3 года назад

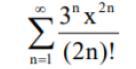
написать программу, вычисляющую сумму бесконечного ряда с заданной точностью. в Pascal. Если можно, то пожалуйста с минимальными объяснениями.

Приложения:

Аноним: если можно, то с МИНИМАЛЬНЫМИ объяснениями, неплохо так

Ответы

Ответ дал: pinguinbird
1

Ответ:

function factorial(x:real): real;

begin

   if x = 1 then factorial := 1

   else factorial := x * factorial(x-1);

end;

function F(n:integer; x:integer): real;

begin

   if n = 1 then F:=3*sqr(x)/2

   else F:=exp(n*ln(3))*exp(2*n*ln(x))/factorial(2*n) + F(n-1, x);

end;

var n,x:integer;

begin

   x := 2;

   n := 50;

   write(F(n,x):0:2);

end.

Вас заинтересует