• Предмет: Математика
  • Автор: grigovlad09112002
  • Вопрос задан 3 года назад

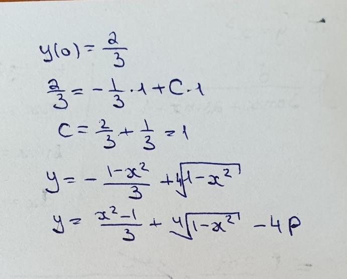
Знайти частинний розв’язок диференціального рівняння.
(Найти частное решение диференциального уровнения)

Приложения:

Ответы

Ответ дал: Miroslava227
1

Ответ:

решение на фотографиях

Приложения:
Вас заинтересует