• Предмет: Алгебра
  • Автор: elizavetkaAlek
  • Вопрос задан 10 лет назад

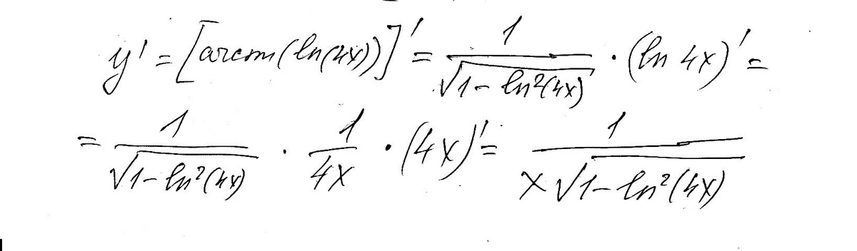
найти производную
у=arcsinl4x

Ответы

Ответ дал: Vladislav006
0
Решение  в приложении =============
Приложения:
Вас заинтересует