• Предмет: Математика
  • Автор: maddisonnn
  • Вопрос задан 3 года назад

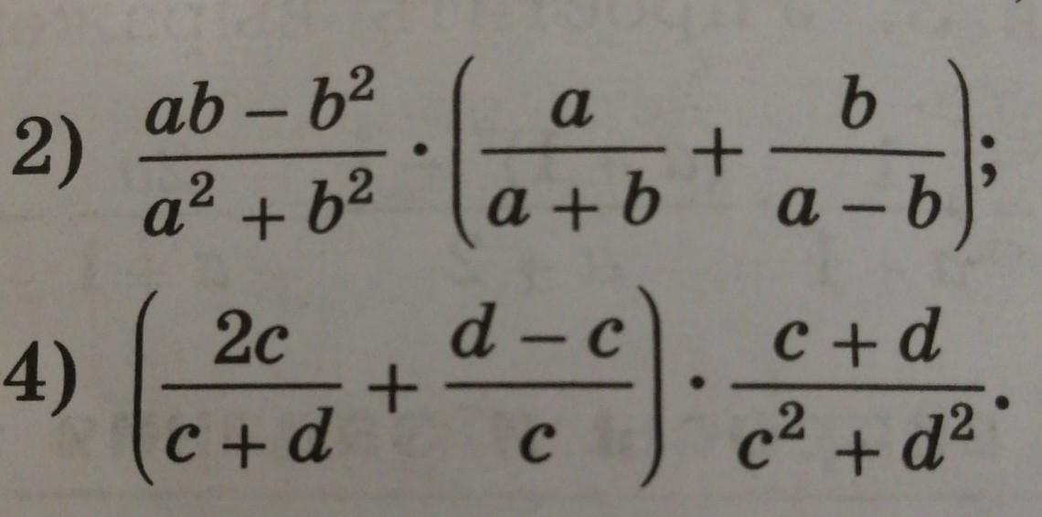
помогите, пожалуйста, срочно! ​

Приложения:

Ответы

Ответ дал: UltimateDetective
1

Ответ:

2) b/a+b 4)1/c

Пошаговое объяснение:

Приложения:
Вас заинтересует