Ответы
Ответ дал:
1
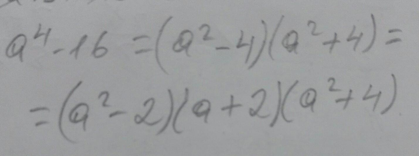
a⁴-16
(а²-4)×(а²+4)
(а-2)×(а+2)×(а²+4)
Вот и множитель:-)
Ответ дал:
1
Ответ:
ответы на фотографии с решением
Приложения:

Вас заинтересует
2 года назад
2 года назад
8 лет назад
8 лет назад
9 лет назад