• Предмет: Алгебра
  • Автор: Disconect1
  • Вопрос задан 3 года назад

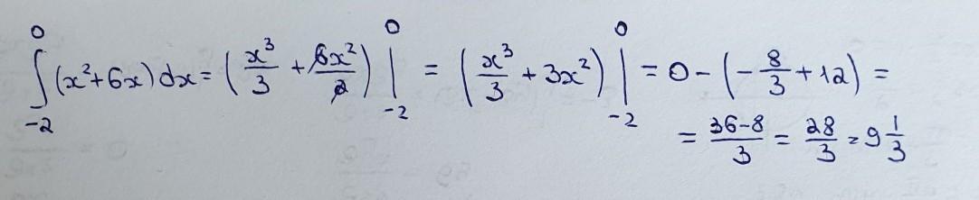
Срочно!!!Обчисліть інтеграл S з низу -2 сверху 0(x^2+6x)dx

Ответы

Ответ дал: Miroslava227
0

Ответ:

решение на фотографии.

Приложения:
Вас заинтересует