• Предмет: Алгебра
  • Автор: allymarynova
  • Вопрос задан 3 года назад

Срочно мне нужно спасибо

Приложения:

Ответы

Ответ дал: serovaksusa1
2

Ответ:

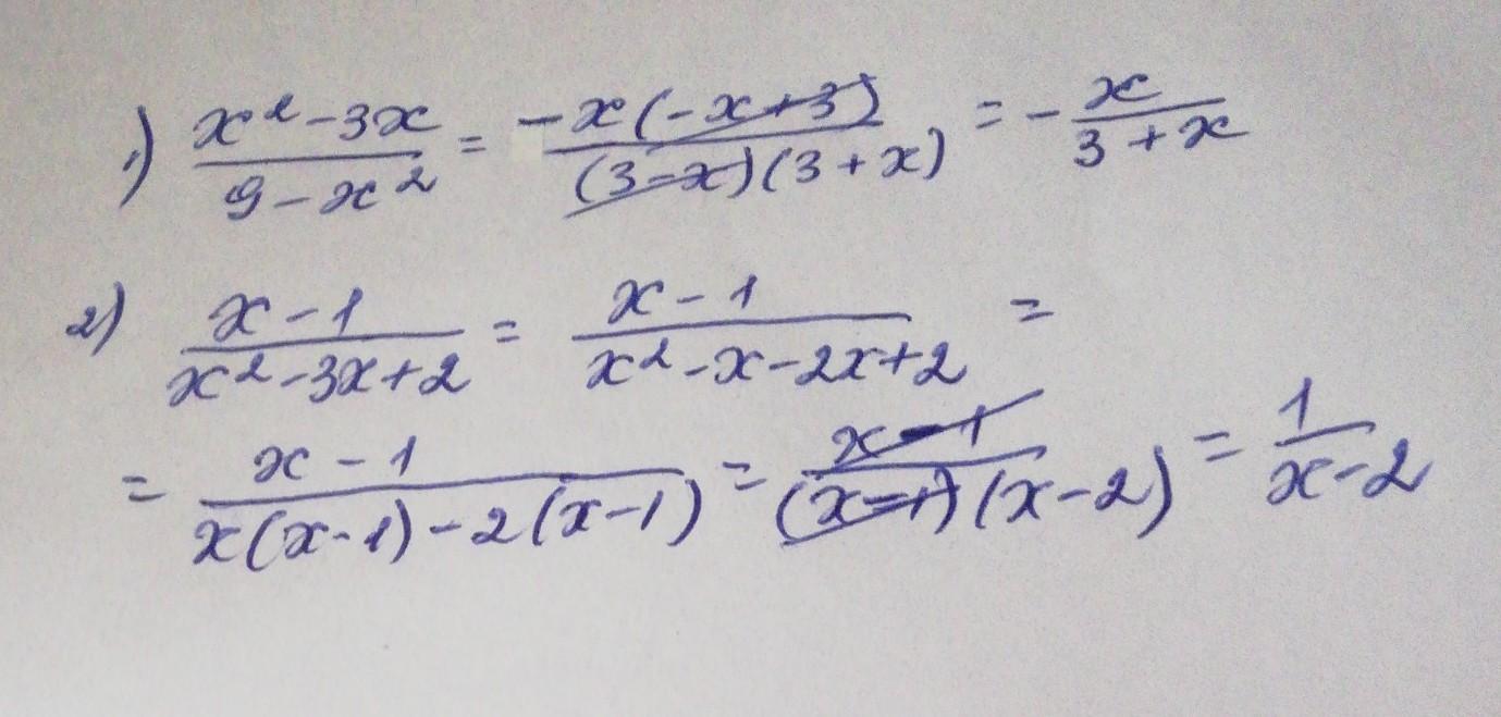
Смотри решение на фото

Приложения:

allymarynova: Очень спасибо!!!
Ответ дал: Аноним
1

Ответ:

1)

 \frac{x {}^{2}  - 3x }{9 - x {}^{2} }   \\   \frac{ x(x - 3)}{(3 - x)(3 + x)}  \\  \frac{x}{3 + x}

2)

 \frac{x - 1}{x {}^{2}  - 3x + 2}   \\  \frac{x  - 1}{x {}^{2}  - x - 2x + 2}  \\  \frac{x - 1}{x(x - 1) - 2(x - 1)}  \\  \frac{x - 1}{(x - 1)(x - 2)}   \\  \frac{1}{x - 2}


allymarynova: Очень спасибо!!!
Вас заинтересует