• Предмет: Математика
  • Автор: angelina0312199985
  • Вопрос задан 3 года назад

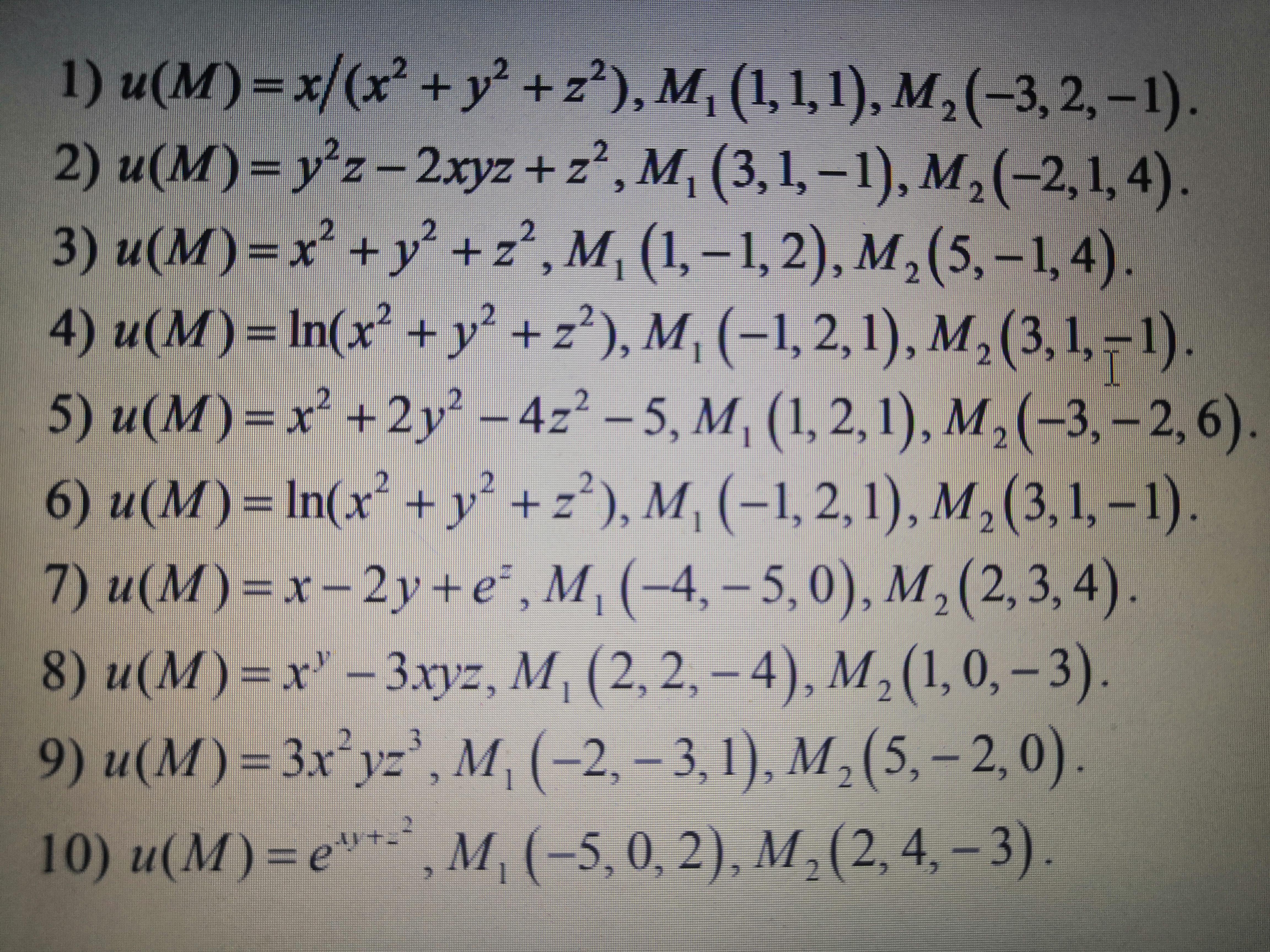
Помогите пожалуйста решить под номером 8)

Приложения:

Ответы

Ответ дал: pushpull
1

Ответ:

Пошаговое объяснение:

сначала вектор

\displaystyle \vec a =\overrightarrow   {M1M2} = (M2_x - M1_x; M2_y - M1_y; M2_z - M1_z) =\\= (5 - (-2); -2 - (-3); 0 - 1) = (7; 1; -1)

a)  производная в точке М1 по направлению вектора а(7;1;-1).

\displaystyle \frac{\delta u}{\delta a} = \frac{\delta u}{\delta x}cos\alpha +\frac{\delta u}{\delta y}cos\beta +\frac{\delta u}{\delta z}cos\gamma

\displaystyle \frac{\delta u}{\delta x} =3x^2-3yz

\displaystyle \frac{\delta u}{\delta y}=-3xz

\displaystyle \frac{\delta u}{\delta z}=-3xy

\displaystyle cos\alpha  =\frac{x}{|a|} ;\qquad cos\beta   =\frac{y}{|a|} ;\qquad cos\gamma  =\frac{z}{|a|} ;

\displaystyle |a|=\sqrt{x^2+y^2+z^2} =\sqrt{7^2+1^2+(-1)^2} =\sqrt{51}

\displaystyle \frac{\delta u}{\delta a}_{( -2;-3;1)}=21*\frac{7}{\sqrt{51} } +6*\frac{1}{\sqrt{51} } -18*\frac{-1}{\sqrt{51} } =57\frac{\sqrt{51} }{17}

\displaystyle \frac{\delta u}{\delta a } > 0    функция в направлении вектора возрастает

б)

\displaystyle grad(u) = \frac{\delta u}{\delta x} \vec i + \frac{\delta u}{\delta y} \vec j +  \frac{\delta u}{\delta z} \vec k

\grad u = (3x^2-3yz)\vec i +(-3xz)\vec j+(-3xy)\vec k

\displaystyle grad u (M1) = 21 \vec i +6 \vec j +(-18) \vec k

направление вектора-градиента задаётся его направляющими косинусами

\displaystyle |grad u (M1)| = \sqrt{(\delta u/\delta x)^2 +(\delta u/\delta y)^2+(\delta u/\delta z)^2}  } = 3\sqrt{89}

\displaystyle cos \alpha =\frac{21}{3\sqrt{89} } ; \qquad cos \beta  =\frac{6}{3\sqrt{89} } ; \qquad cos \gamma =\frac{-18}{3\sqrt{89} } ; \qquad

Вас заинтересует