• Предмет: Математика
  • Автор: Svenenter
  • Вопрос задан 3 года назад

Найдите значение выражения
(9a^2-1/49b^2):(3a-1/7b) при a=-3/4 b=1/14​

Ответы

Ответ дал: Аноним
5

Ответ:

( \frac{9a {}^{2} - 1 }{49b {}^{2} } ) \div ( \frac{3a - 1}{7b} ) =  \frac{(3a - 1)(3a + 1)}{49b {}^{2} }  \times  \frac{7b}{3a - 1}  =  \frac{3a + 1}{7b}  \\ a =  -  \frac{3}{4}  \: b =  \frac{1}{14}  \\  \frac{3 \times ( -  \frac{3}{4} ) + 1}{7 \times  \frac{1}{14} }  =  \frac{ -\frac{9}{4} }{ \frac{1}{2} }  =  -  \frac{9}{2}  =  - 4 \frac{1}{2}

Ответ дал: serovaksusa1
4

Ответ:

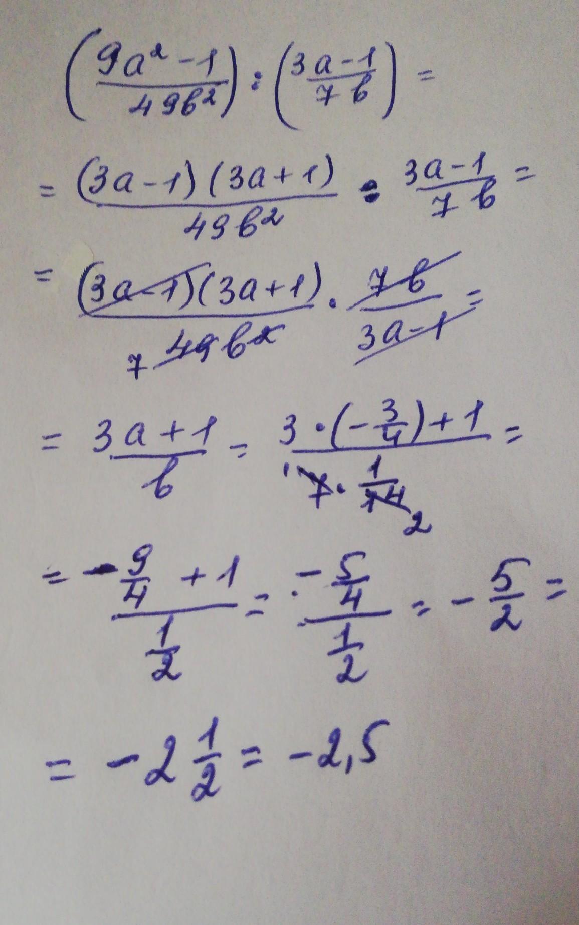
Смотри решение на фото

Приложения:
Вас заинтересует