• Предмет: Геометрия
  • Автор: stepanfricler
  • Вопрос задан 3 года назад

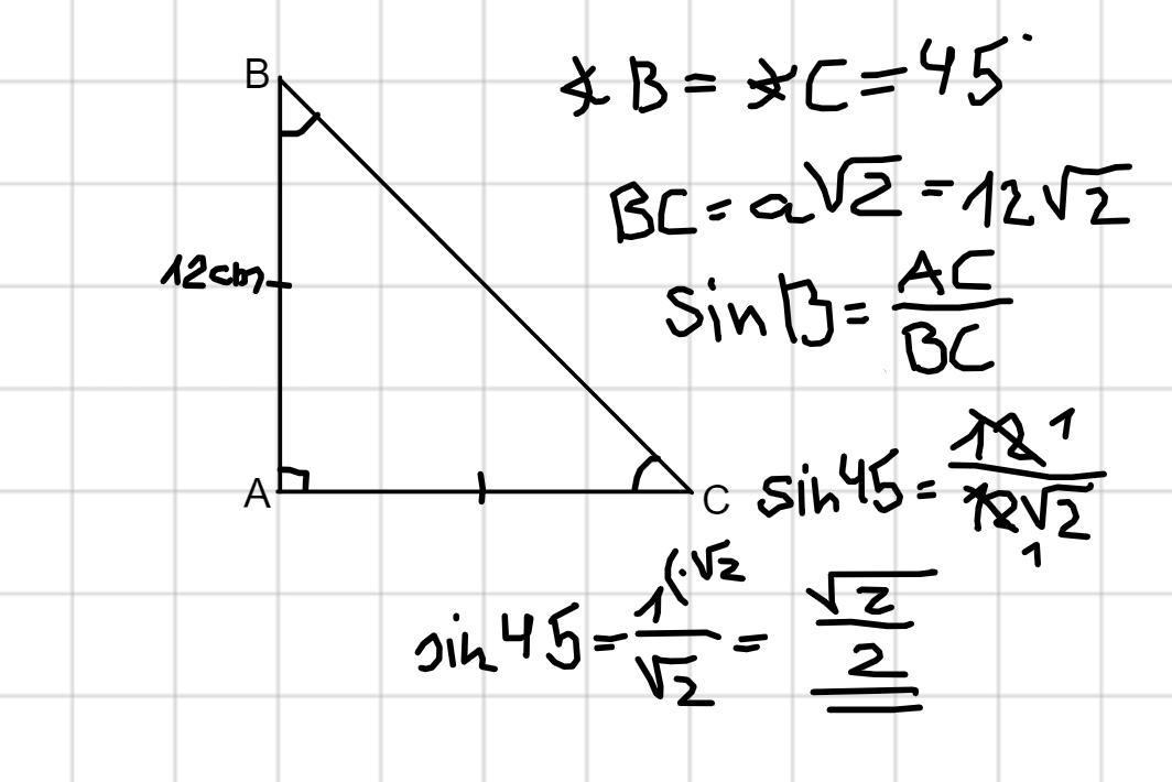
Катеты прямокутного трикутника,АС=12см,ВС=12см,
Знайдить гипотенузу, знайдить sin B

Ответы

Ответ дал: cashpass01
0

Ответ:

На фото!

Объяснение:

Приложения:
Вас заинтересует