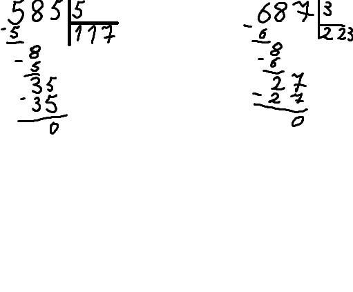
в̾̾ы̾̾п̾̾о̾̾л̾̾н̾̾и̾̾т̾̾е̾̾ д̾̾е̾̾л̾̾е̾̾н̾̾и̾̾е̾̾ в̾̾ с̾̾т̾̾о̾̾л̾̾б̾̾и̾̾к̾̾ п̾̾ж̾̾ и̾̾ п̾̾р̾̾о̾̾в̾̾е̾̾р̾̾к̾̾у̾̾ 5̾̾8̾̾5̾̾:5̾̾, 6̾̾8̾̾7̾̾:3̾̾
Ответы
Ответ дал:
1
ответь во вложении .
можно лучший ответ?
Приложения:

Ответ дал:
0
Ответ:
Пошаговое объяснение:
Приложения:

pepper161:
как курица лапой пишешь
Вас заинтересует
2 года назад
2 года назад
8 лет назад
9 лет назад