• Предмет: Математика
  • Автор: Sleshgame
  • Вопрос задан 3 года назад

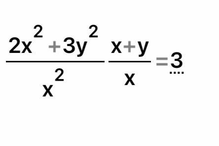
По второй дроби нужно вычислить значение первой. Даю 20 баллов

Приложения:

Ответы

Ответ дал: lalakuQQ
1

Ответ:

 \frac{x + y}{x}  = 3 \\ x + y = 3x \\ y = 2x

подставляем вместо y в первую дробь - 2x

получится

 \frac{2 {x}^{2}  + 3 \times (2 {x}) {}^{2} }{ {x}^{2} }  =  \frac{2 {x}^{2} + 12 {x}^{2}  }{ {x}^{2} }  =  \frac{ {x}^{2} (2 + 12)}{x {}^{2} }  = 14

Вас заинтересует