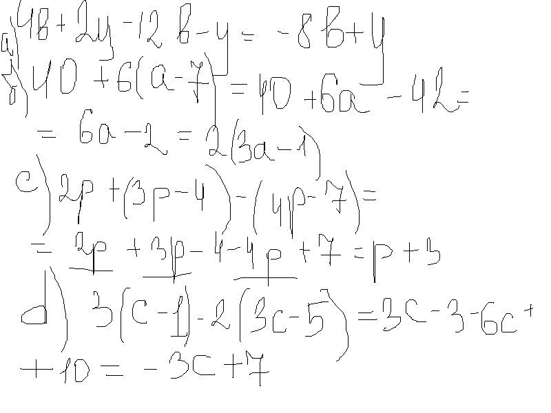
1.а)4b+2y-12b-y
b)40+6(a-7)
c)2p+(3p-4)-(4p-7)
d)3(c-1)-2(3c-5)
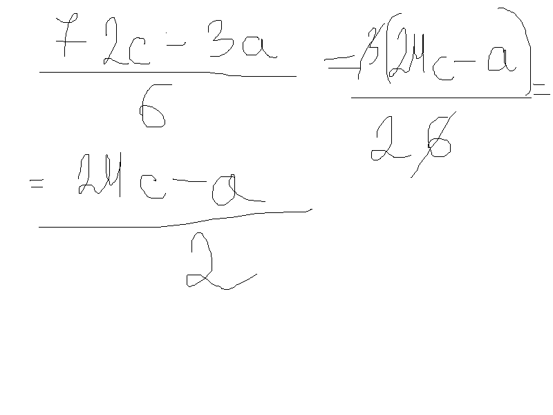
2.5/6(12c+a)+2/3(3c-2a)
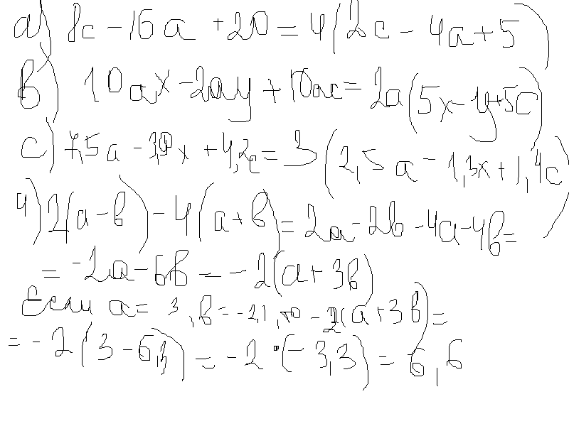
3.Вынести за скобки
a)8c-16a+20
b)10ax-2ay+10ac
c)7,5а-3,9х+4,2с
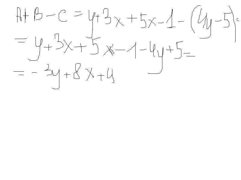
4.2(a-b)-4(a+b) при а=3 и b=-2,1
5Подставте вместо A B C =A+B-C
A=y+3х,В=5х-1,С=4н-5
Ответы
Ответ дал:
0
Сейчас остальные решу и тоже кину,но ты проверяй,ибо я могу допустить где-то из-за невнимательности ошибку,ну хотя не должна,но всё проверь
Приложения:





Ответ дал:
0
Спасибо)
Вас заинтересует
8 лет назад
10 лет назад
10 лет назад
10 лет назад