• Предмет: Математика
  • Автор: Delikanli
  • Вопрос задан 3 года назад

Математика 8 класс!Заранее спасибо ^-^
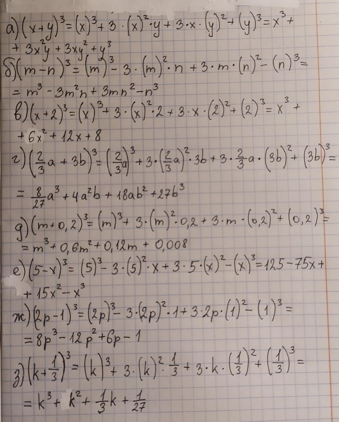
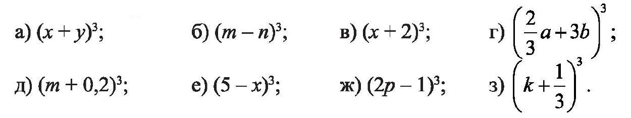
Запишите выражения в виде многочлена:

Приложения:

Ответы

Ответ дал: moekacdc2
4

...........................

Приложения:

AlinaK3106: Привет рена
AlinaK3106: Тоесть вика
AlinaK3106: Как дела?
AlinaK3106: У меня отлично
Delikanli: Привет!
Delikanli: Ты Альбина или Алина?
Delikanli: У меня все хорошо.Как у тебя?
AlinaK3106: Я Алина
AlinaK3106: У меня всё отлично отдыхаю от уроков
AlinaK3106: Мне Альбина про тебя много чего рассказывала.
Вас заинтересует