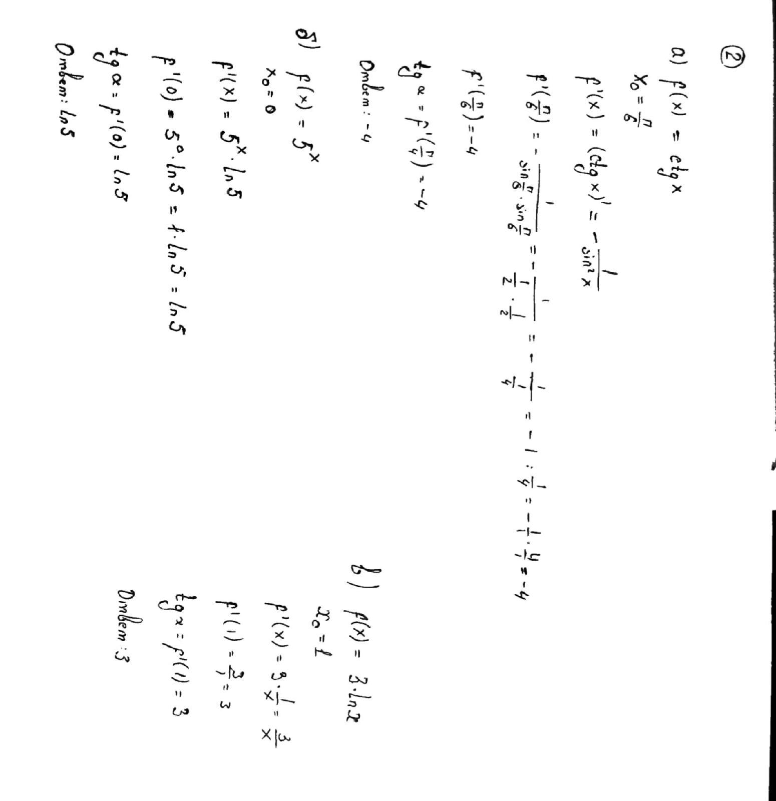
Найди угловой коэфициент касательной к графику функций y=f(x)
a) f(x) = 5x2-3x+2, x0=2
b) f(x) =3°x2, x0=1
Приложения:

Ответы
Ответ дал:
1
Ответ на закрепленных изображениях
Приложения:




Вас заинтересует
2 года назад
2 года назад
2 года назад
8 лет назад
9 лет назад