Ответы
Ответ дал:
3
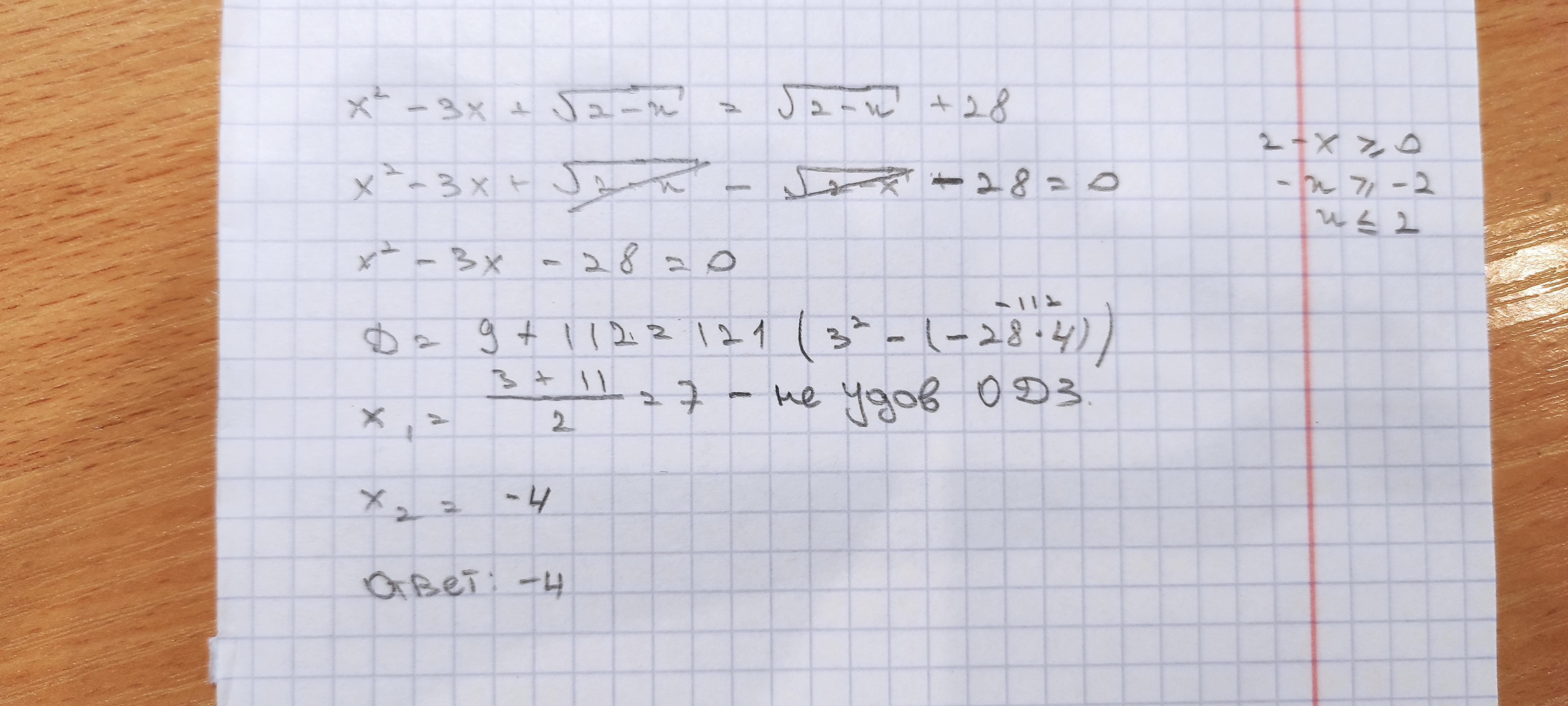
Ответ: -4
Объяснение:
На картинке написал, справа ОДЗ. Согласно ОДЗ значения должны быть меньше равно двум.
Почему ОДЗ меньше равно 2? Рассматриваем подкоренное выражение (2-х), отрицательный корень не извлекается, но нулю равен быть может, получаем:
2-х≥0
-х≥-2
х≤2
Правильный ответ: -4
Приложения:

Вас заинтересует
2 года назад
2 года назад
2 года назад
8 лет назад
8 лет назад
9 лет назад