Ответы
Ответ дал:
1
Ответ:
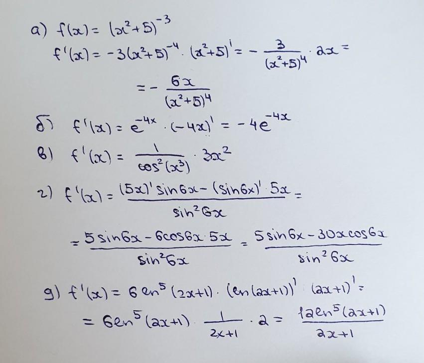
решение на фотографии.
Приложения:

Вас заинтересует
2 года назад
2 года назад
8 лет назад
9 лет назад
9 лет назад