Пожалуйста, помогите срочно!!!
Приложения:

zetvorg:
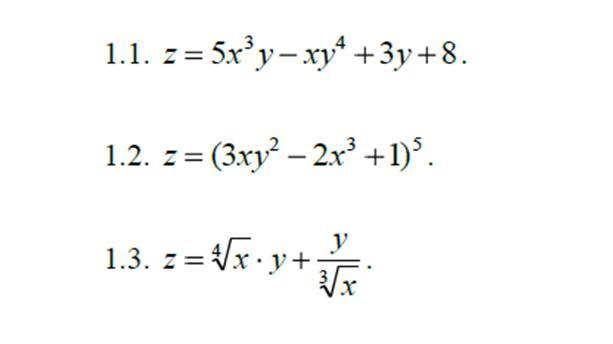
Найдите все частные производные данных функций по каждой из независимых переменных
Ответы
Ответ дал:
1
Ответ:
решение на фотографии.
Приложения:

Вас заинтересует
2 года назад
2 года назад
8 лет назад
9 лет назад
9 лет назад