• Предмет: Математика
  • Автор: Mormal
  • Вопрос задан 3 года назад

Реееебяят, помогите пожалуйста!!!!!!!!!!!!!!!!!!!!!!!!!!!!!!!!!!!!!!!!!!!!!!!!!!!!!!!!!!!!!!!!!!!!!!!!!!!!!!!!!!!!!! (((скрин))))

Приложения:

Ответы

Ответ дал: qwertyalex1298
1

Ответ:

Первое: -0.37

Второе: 9⅓

Третье: 0.875

Четвёртое: 0.5

Приложения:
Ответ дал: prosvirninaelena735
0

Ответ:

1.

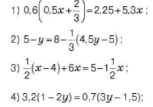
0.6×(0.5х+2/3)=2.25+5.3х

0.6×0.5х+0.6×2/3=2.25+5.3х

0.3х-5.3х=2.25-6/10×2/3

-5х=2.25-3/5×2/3

-5х=2.25-5/2

-5х=2.25-2.5

-5х=-0.25|×(-1)

5х=0.25

х=0.25÷5

х=25/100÷5

х=1/4×1/5

х=1/20

х=0.05

2.

5-y=8-1/3(4.5y-5)

-y=8-5-1/3(4.5y-5)

-y=3-1.5y+5/3

-y+1.5y=3+5/3

y=4 целых2/3

3.

1/2(х-4)+6х=5-1 1/2х

0.5(х-4)+6х=5-1.5х

0.5х-2+6х=5-1.5х

0.5х+6х+1.5х=5+2

8х=7

х=7/8

4.

3.2(1-2у)=0.7(3у-1.5)

3.2-6.4у=2.1у-1.05

-6.4у-2.1у=-1.05-3.2

-8.5у=-4.25

у=4.25÷8.5

у=0.5


qwertyalex1298: 1 задание: у тебя ошибка при сокращении, получается, ⅗ * ⅔ = 6/15=2/5=0.4, а у тебя 2.5
qwertyalex1298: 2 задание: -у+1.5у у тебя равно у, а должно быть 0.5у
Вас заинтересует