Ответы
Ответ дал:
1
Ответ: расписал все в твоём предыдущем вопросе, что добавить? Расписать?
Пошаговое объяснение:
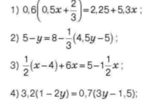
Первое: -0.37
Второе: 9⅓
Третье: 0.875
Четвёртое: 0.5
Приложения:


qwertyalex1298:
х= 7/8=0.875
Вас заинтересует
2 года назад
2 года назад
2 года назад
8 лет назад
8 лет назад
9 лет назад
9 лет назад