• Предмет: Математика
  • Автор: Mellonse
  • Вопрос задан 3 года назад

ПОМОГИТЕ!!!!!!!!!!!!!!!!!!!!!!!!!!!!!!!!!!!!!!!!!!!!!!!!!!!!!!!!!!!!!!!!!!!!

Приложения:

Ответы

Ответ дал: nnurkobilov
0

Ответ:

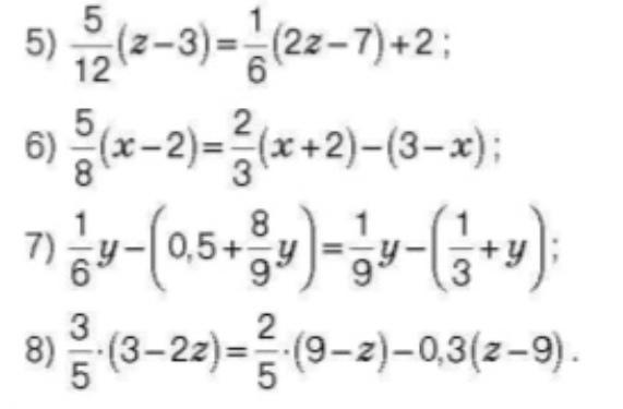
Вопрос 5.

Ответ;

{{z==25}}

1/12*(-15+(5*z))==1/6*(5+(2*z))

Вопрос 6.

Ответ

{{x==2/5}}

-5/4+((5/8)*x)==-5/3+((5/3)*x)

1/8*(-10+(5*x))==1/3*(-5+(5*x))

Вас заинтересует