• Предмет: Математика
  • Автор: alinabakusewa
  • Вопрос задан 3 года назад

Ответьте пж!!
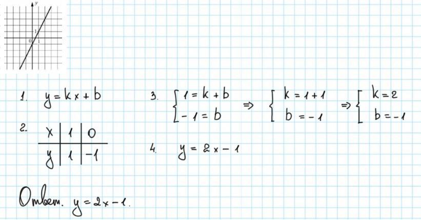
На рисунке изображён график линейной функции. напишите формулу, которая задаёт эту линейную функцию.
МОЖЕТЕ С ПОЯСНЕНИЕМ. ​

Приложения:

Ответы

Ответ дал: AiMus
1

Ответ:

Решено

Пошаговое объяснение:

Приложения:
Вас заинтересует