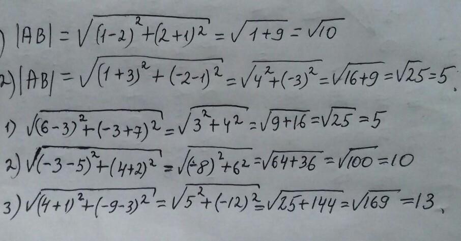
Найти расстояние между точками А и B если
1) А(3;-7) В(6;-3)
2) А(5;-2) В(-3;4)
3) А(-1;3) В(4;-9)
Ответы
Ответ дал:
0
Ответ:
............................
Приложения:

Вас заинтересует
2 года назад
2 года назад
2 года назад
8 лет назад
8 лет назад
9 лет назад