• Предмет: Математика
  • Автор: lashroale3839
  • Вопрос задан 3 года назад

Помогите решить эти 3 задания,дам 60 баллов

Приложения:

Ответы

Ответ дал: xERISx
1

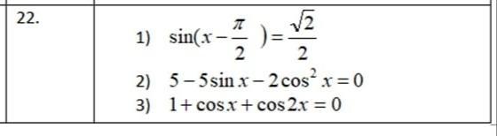
1) Воспользуемся формулами:

\sin(-\alpha )=-\sin\alpha ;\ \ \ \sin\left(\dfrac{\pi}2-\alpha \right)=\cos \alpha

\sin\left(x-\dfrac{\pi}2\right)=\dfrac{\sqrt2}2\\\\-\sin\left(\dfrac{\pi}2-x\right)=\dfrac{\sqrt2}2\\\\\cos x = -\dfrac{\sqrt2}2;\ \ \ \ \boxed{\boldsymbol{x=\pm\dfrac{3\pi}4+2\pi n,\ n\in \mathbb Z}}

2) Используем основное тригонометрическое тождество:

\sin^2\alpha +\cos^2\alpha =1

5-5\sin x-2\cos^2x=0\\5-5\sin x-2(1-\sin^2x)=0\\5-5\sin x-2+2\sin^2x=0\\2\sin^2x-5\sin x+3=0

Квадратное уравнение с неизвестным \sin x.

D=(-5)^2-4\cdot 2\cdot3=1\\\\\sin x=\dfrac{5-1}{2\cdot 2}=1;\ \ \ \boxed{\boldsymbol{x=\dfrac{\pi}2+2\pi k,\ k\in\mathbb Z}}\\\\\sin x=\dfrac{5+1}{2\cdot 2}=1,5;\ \ \ 1,5>1\ \ \Rightarrow\ \ \ x\in\varnothing

3) Используем формулу косинуса двойного аргумента:

\cos(2\alpha )=2\cos^2\alpha -1

1+\cos x+\cos 2x=0\\1+\cos x+2\cos^2x-1=0\\2\cos^2x+\cos x=0\\\cos x(2\cos x+1)=0\\\\\displaystyle\left [ {{\cos x=0} \atop {2\cos x+1=0}} \right. \ \ \ \left [ {{\cos x=0} \atop {\cos x=-\dfrac12}} \right. \\\\\boxed{\left {{\boldsymbol{x_1=\dfrac{\pi}2+\pi n,\ n\in\mathbb Z}} \atop {\boldsymbol{x_{2,3}=\pm\dfrac{2\pi}3+2\pi m,\ m\in\mathbb Z}}} \right. }

Ответ:

\boldsymbol{1)\ \pm\dfrac{3\pi}4+2\pi n,\ n\in \mathbb Z;\ \ 2)\ \dfrac{\pi}2+2\pi k,\ k\in\mathbb Z;}

3)\ \boldsymbol{\dfrac{\pi}2+\pi n,\ n\in\mathbb Z; \ \ \pm\dfrac{2\pi}3+2\pi m,\ m\in\mathbb Z.}

Вас заинтересует