Ответы
Ответ дал:
0
Как-то так..................
Приложения:

Ответ дал:
0
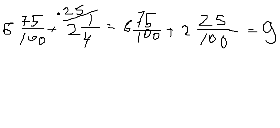
6.75 +2 ЦЕЛЫХ 1/4=6.75 + 2.25 = 9
Приложения:

Вас заинтересует
2 года назад
2 года назад
8 лет назад
10 лет назад
10 лет назад
10 лет назад
10 лет назад