• Предмет: Алгебра
  • Автор: Svitoslav2999
  • Вопрос задан 3 года назад

Чиє здавна послідовність арефметичною прогресією .Відповіді пояснити -7;-3;1;5;9;

Ответы

Ответ дал: mathkot
0

Ответ:

ТАК

Объяснение:

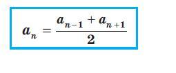
За теоремою:якщо в послідовності кожний член, крім першого

(і останнього, якщо прогресія скінченна), дорівнює середньому арифметичному двох сусідніх із ним членів, то ця послідовність є арифметичною прогресією.

А так як 1 = \frac{-3 + 5}{2}=\frac{2}{2}=1, то ця послідовність є арифметичною прогресією.

Приложения:
Вас заинтересует