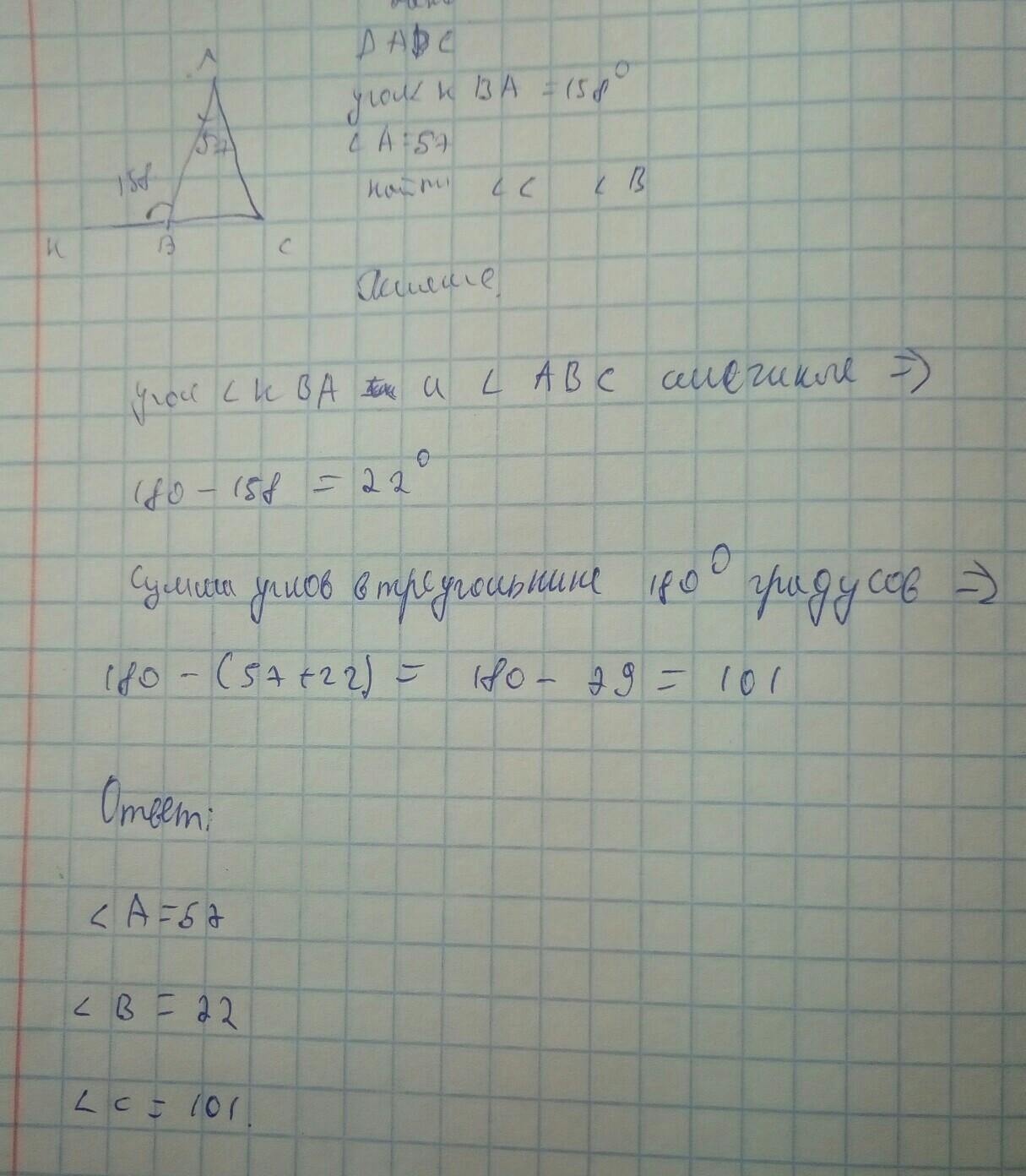
Один из внешних углов треугольника равен 158, а один из углов треугольника равен 57. Найдите остальные углы треугольника.
Ответы
Ответ дал:
1
Ответ:
На фото
Объяснение:
На фото
(Надеюсь не допустил ошибок. Если вас устраивает ответ, то не забудте отметить как лучший. От этого и мне выгода и вам т,к вам дадут баллы)
Приложения:

Nonw:
Огромное спасибо ты ответил в конец кр а я на дистанционке блогодарю тебя!)
Вас заинтересует
2 года назад
2 года назад
2 года назад
2 года назад
8 лет назад
8 лет назад
9 лет назад