• Предмет: Математика
  • Автор: Alia45555
  • Вопрос задан 3 года назад

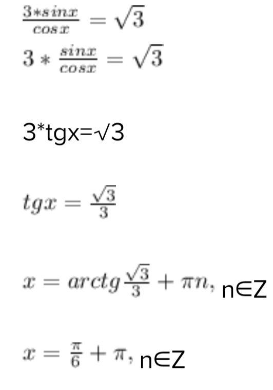
Розв'яжіть рівняння 3 ∙
sinx
cosx
= √3

Ответы

Ответ дал: Loggggika112
0

Должно бить 20 символов,

Ответ вот:

Приложения:
Вас заинтересует