• Предмет: Математика
  • Автор: shamsuddinovadilnura
  • Вопрос задан 3 года назад

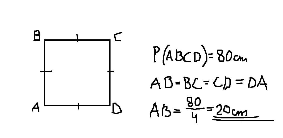
периметр квадрата 80 см Найдите сторону квадрат.
пожалуйста помогите дам 5 звёзд подпишусь поставлю лайк и зделаю самым лучшим коментарий​

Ответы

Ответ дал: alexlacky2019
1

Ответ:

периметр квадрата равен стороне квадрата умноженной на 4, 80:4=20 см сторона квадрата


shamsuddinovadilnura: как зделать самым лучшим коментарий
Ответ дал: cashpass01
1

Ответ:

На фото!

Пошаговое объяснение:

Приложения:

shamsuddinovadilnura: спасибо
Вас заинтересует