• Предмет: Математика
  • Автор: sdinosaurmax
  • Вопрос задан 3 года назад

ДАЮ 50 БАЛЛОВ АЛГЕБРА!!!​

Приложения:

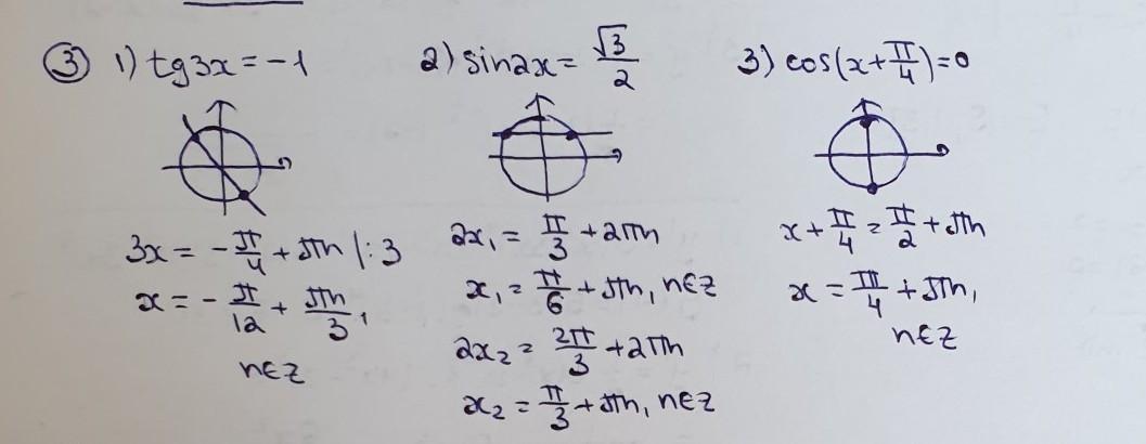
Ответы

Ответ дал: Miroslava227
1

Ответ:

решение на фотографиях

Приложения:
Ответ дал: 2356884321
1

Ответ : на фотографии

Приложения:
Вас заинтересует