• Предмет: Математика
  • Автор: Сикрит
  • Вопрос задан 3 года назад

ПОМОГИТЕ С 2 и 3 заданием СРОЧНООО
ОТДАЛА ВСЕ БАЛЛЫ

Приложения:

Ответы

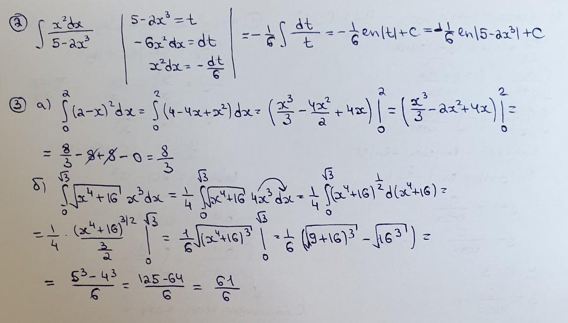
Ответ дал: Miroslava227
0

Ответ:

решение на фотографии.

Приложения:

Аноним: привет можешь помочь пожалуйста отпиши
Вас заинтересует