• Предмет: Алгебра
  • Автор: NormalNick
  • Вопрос задан 3 года назад

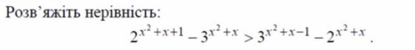
Розв'язати нерівність

Приложения:

Ответы

Ответ дал: Miroslava227
3

Ответ:

решение на фотографии.

Приложения:

solovevfedor245: Miroslava227, умоляю вас, помогите мне с заданием по геометрии,там нужно сделать все буквы,вопрос у меня в профиле
solovevfedor245: Пожалуйста, умоляю, прошу вас,это вопрос жизни и смерти, пожалуйста помогите
ViktoriaKupenko: Пожалуйста помогите мне с геометрией Я вас очень прошу))) Задание у меня в профиле
Вас заинтересует