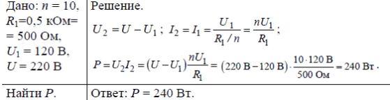
Дві паралельно з'єднані лампи опорами по 0,5 кОм, розраховані на напруагу 120 В кожна, живляться через реостат від мережі 220 В. Яка потужність струму в реостаі, якщо лампи споживають номінальну напругу? ДАЮ 50 Б
Ответы
Ответ дал:
5
Вот такой ответ!!!!!
Приложения:

Grisha2807:
Что такое n=10?
Вас заинтересует
2 года назад
2 года назад
2 года назад
2 года назад
8 лет назад
8 лет назад
9 лет назад
9 лет назад