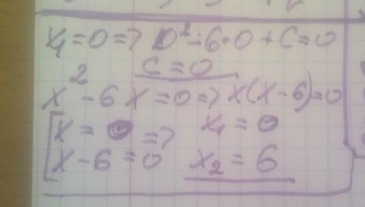
один із коренів квадратного рівняння x²-6x+c=0 дорівнює 0 знайдіть вільний член і другий корінь цього рівняння
Ответы
Ответ дал:
1
Ответ:
решение смотри на фотографии
Приложения:
Вас заинтересует
2 года назад
2 года назад
3 года назад
3 года назад
8 лет назад
8 лет назад
9 лет назад
9 лет назад