• Предмет: Математика
  • Автор: polinka00008
  • Вопрос задан 3 года назад

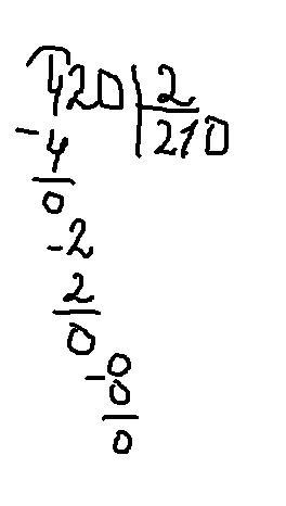
420÷2 решение в столбик​


Аноним: 210

Ответы

Ответ дал: Ediona
3

Ответ:

внизу все написано)

Приложения:

polinka00008: спасибо
Ediona: не за что)
Вас заинтересует