• Предмет: Математика
  • Автор: Аноним
  • Вопрос задан 3 года назад

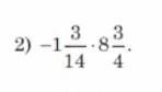
задание на фото 6 класс​

Приложения:

Ответы

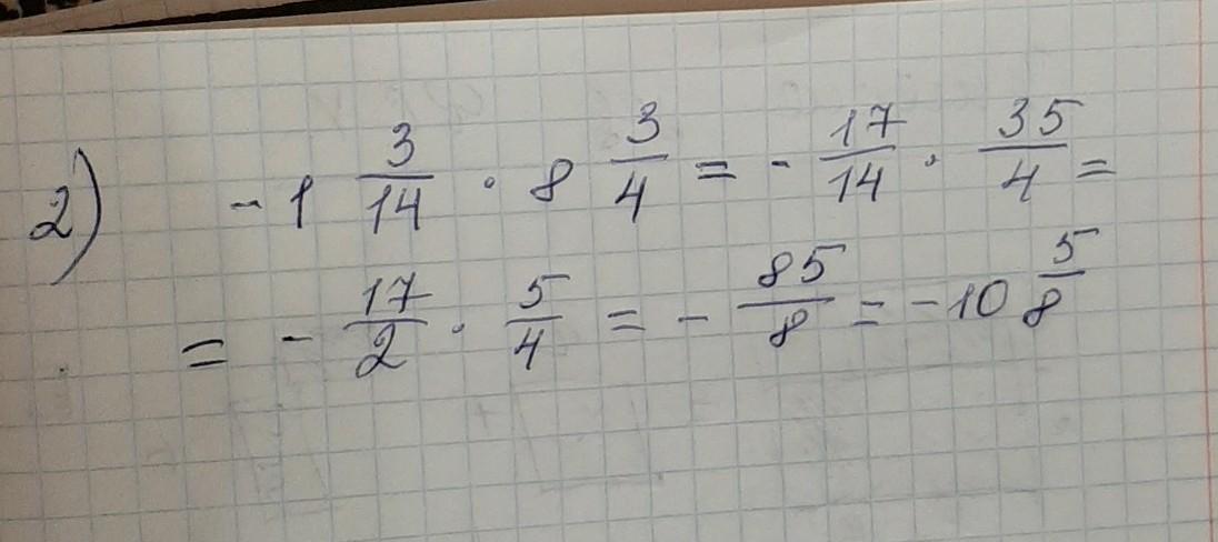
Ответ дал: treasury8352
1

Ответ:

.............................

Приложения:

Аноним: спасибо
treasury8352: незачто)
Ответ дал: Satpad
0

Ответ:

Вот так как-то........

Приложения:

Аноним: вам тоже спасибо)
Satpad: Пожалуйста)
Вас заинтересует