• Предмет: Математика
  • Автор: oiegstaq
  • Вопрос задан 3 года назад

помогите пожайлуста(

Приложения:

Ответы

Ответ дал: asilbekovazulxumor
1

Ответ:

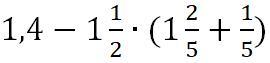
1,4-1 целая 1/2*(1 целая 2/5+1 целая 1/5)

1целая 2/5+1целая 1/5=2целые 3/5

2целые 3/5*1целая 1/2=39/10=3целые 9/10

1,4-3,9=-2,5

Вас заинтересует