• Предмет: Алгебра
  • Автор: krizanovskamaria9
  • Вопрос задан 3 года назад

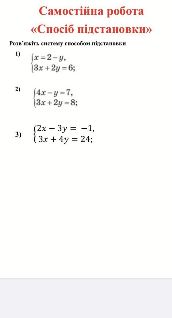
помогите решить самостоятельную роботу за 7 клас​

Приложения:

Ответы

Ответ дал: русланастамиров
1

Ответ:

Объяснение:

I в первом уравнении икс уже выражен, подставим 2-у вместо икс в овторое уравнение, тогда

3(2-y)+2y=6

6-3y+2y=6

-y=0

y=0. Подставим в икс, тогда x=2-0=2

(2;0)

II

Выразим игрек из первого уравнения, для этого перенесем игрек вправо, а 7 влево с противоположными знаками.

y=4x-7. подставим вместо игрек во второе

3x+2(4x-7)=8

3x+8x-14=8

11x=22

x=2, у=4х-7=4*2-7=1

(2;1)

III.

выразим х из первого уравнения, тогда

2x=3y-1

x=(3y-1)/2. Подставим

3(3y-1)/2+4y=24

9y-3/2+4y=24

4,5y-1,5+4y=24

8,5y=25,5

y=3

x=9-1/2=4

(4;3)

Вас заинтересует