• Предмет: Алгебра
  • Автор: nadezhdakhaustova
  • Вопрос задан 3 года назад

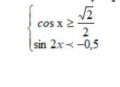
................Решите систему тригонометрических неравенств cos(x)>=корень из 2/2 sin(2x)<-0.5

Приложения:

Ответы

Ответ дал: Miroslava227
2

Ответ:

1) \cos(x)  \geqslant  \frac{ \sqrt{2} }{ 2}  \\

рисунок1

[tex]x\in[- \frac{\pi}{4} + 2 \pi \: n ;\frac{\pi}{4} + 2 \pi \: n] \\ [/tex]

2) \sin(2x)  &lt;  -  \frac{1}{2}  \\

рисунок2

2x\in( -  \frac{5\pi}{6}  + 2\pi \: n  ;- \frac{\pi}{6}  + 2\pi \: n)  \:  \:  \:  | \div 2 \\ x\in( -  \frac{5\pi}{12}  + \pi \: n; -  \frac{\pi}{12} +  \pi \: n)

рисунок3

Пересекаем оба решения (на 1 рис и 3 рис)

рисунок 4

Ответ:

x\in[-  \frac{\pi}{4}  + 2\pi \: n ;-  \frac{\pi}{12} + 2 \pi \: n) \\

n принадлежит Z.

Приложения:
Вас заинтересует