• Предмет: Математика
  • Автор: maryuwu
  • Вопрос задан 3 года назад

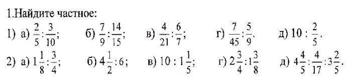
математика. даю 30!!!!!!!!!!!1

Приложения:

mironovdima21059: четкая ава

Ответы

Ответ дал: eva200713
1

1) а) 4/3

б) 5/6

в) 2/9

г) 7/25

д) 25

2) а) 3/2

б) 3/4

в) 2

г) 33/32 или 1 1/32

д) 68/25 или 2 18/25

Вас заинтересует