• Предмет: Математика
  • Автор: 260880
  • Вопрос задан 3 года назад

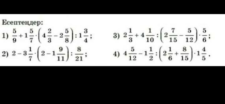
Пожалуйста помогите:((((

Приложения:

Ответы

Ответ дал: BadSKILL
1

Ответ:

1)

 \frac{7151}{2520}

2)

 \frac{1}{2}

3) низнаю(

4)

 \frac{143}{36}


260880: Спасибо
Вас заинтересует