• Предмет: Информатика
  • Автор: galileogalileu
  • Вопрос задан 3 года назад

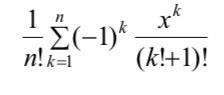
Необходимо преобразовать формулу в строчный вид, для программы в C++

Приложения:

Ответы

Ответ дал: Hn94
1

Ответ:

Объяснение:

#include <iostream>

#include <cmath>

using namespace std;

double factorial(double number)

{

if (number < 0)

 return 0;

if (number == 0)

 return 1;

else

 return number * factorial(number - 1);

}

int main()

{

double n, x, result, sum = 0;

cin >> n >> x;

for (int k = 1; k <= n; k++)

{

 sum += pow(-1, k) * pow(x, k) / factorial(factorial(k) + 1);

}

result = sum / factorial(n);

cout << result << endl;

}

Вас заинтересует