Ответы
Ответ дал:
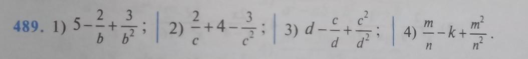
2
Как то так. Надеюсь, правильно.
Приложения:

Вас заинтересует
2 года назад
2 года назад
2 года назад
8 лет назад
9 лет назад
9 лет назад