• Предмет: Алгебра
  • Автор: danilarutyunov37
  • Вопрос задан 3 года назад

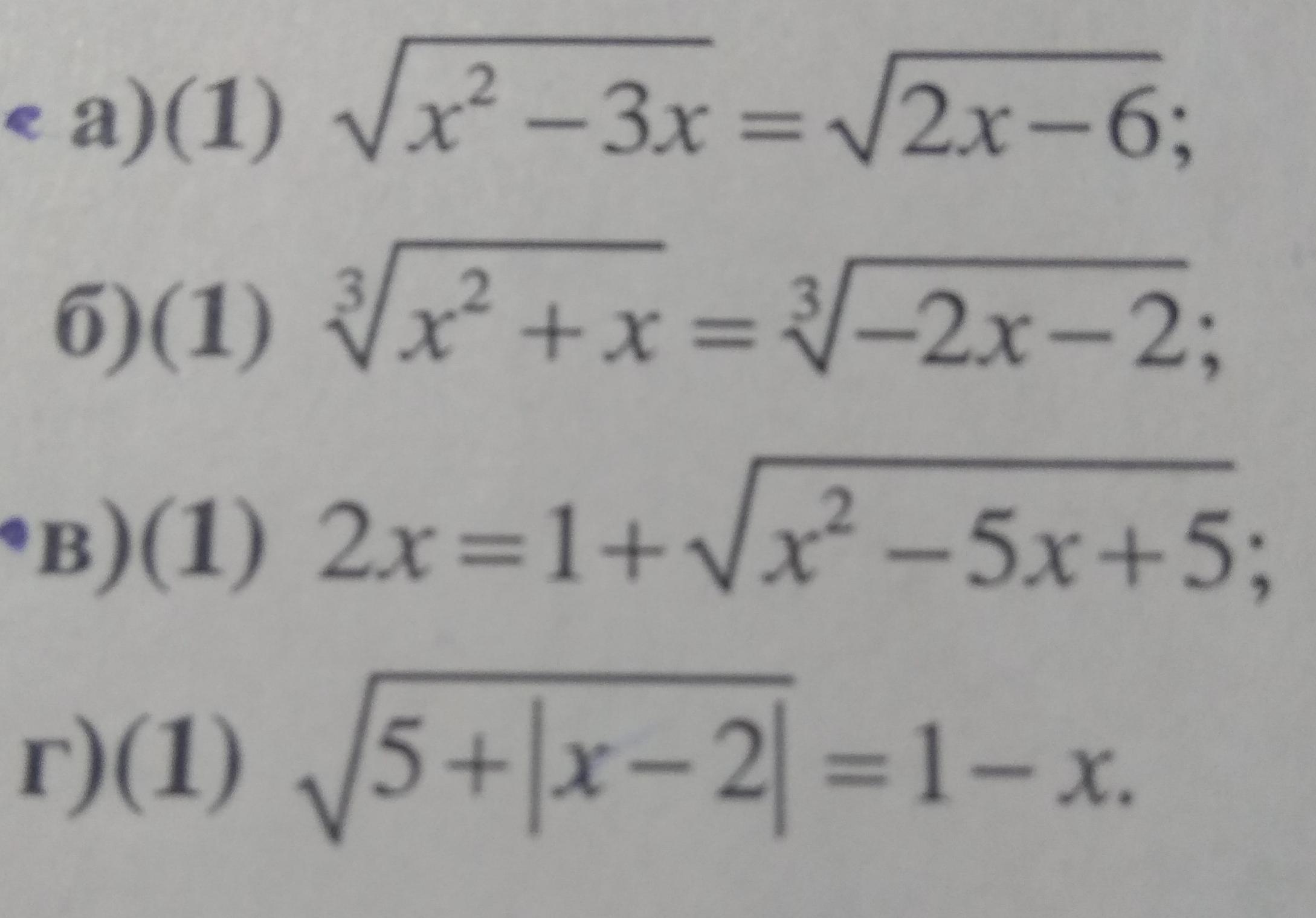
Решите уравнения (б, г):

Приложения:

Ответы

Ответ дал: KardelSharpbrain
1

б) ∛х²+х = ∛-2х-2

х²+х = -2х-2

х²+3х+2=0

х1= -1

х2= -2

Проверка:

1) х = -1

∛1-1 = ∛2-2

0=0

2) х = -2

∛4-2 = ∛4-2

∛2=∛2

Ответ: -1; -2

г) √5+|x-2| = 1-x

5+|x-2| = 1-2x+x²

|x-2| = x²-2x-4

Найдем нули подмодульной функции:

х-2=0

х = 2

____1)___2____2)____>x

1) x∈(-∞;2)

Подставим в модуль (например) 0, т.к. принадлежит 1му ОДЗ. Значение модуля - отрицательное, значит меняем знаки в модуле на противоположные:

-х+2 = x²-2x-4

х²-х-6 = 0

x1 = 3 - не удовлетворяет ОДЗ

x2 = -2

2) х∈[2;+∞)

х-2 = х²-2х-4

-х²+3х+2 =0

х²-3х-2 = 0

x = (3±√17)/2

x=(3-√17)/2 - не удовлетворяет ОДЗ

Проверка:

1) х = -2

√5+|-2-2| = 1+2

√5+4 = 3

3=3

2) √5 + |(3+√17)/2-2| = 1-(3+√17)/2

Правая часть меньше нуля, а подкоренное выражение всегда больше либо равно 0, значит, этот корень является посторонним

Ответ: -2


danilarutyunov37: Спасибо большое)
KardelSharpbrain: рад помочь
Вас заинтересует