• Предмет: Математика
  • Автор: jhfdde
  • Вопрос задан 3 года назад

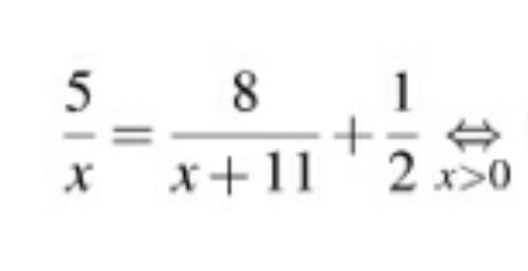
Помогите решить это уравнение, и как оно читается?

Приложения:

Ответы

Ответ дал: prosvirninaelena735
1

Ответ:

5/х=8/х+11+1/2|×2х(х+11)

5×2(х+11)=8×2х+х×(х+11)

10х+110=16х+х^2+11х

10х+110-16х-х^2-11х>0

-х^2-17х+110>0

Для того, чтобы вычислить данное неравенство, приравняем его к 0 и получим квадратной уравнение

-х^2-17х+110=0|×(-1)

х^2+17х-110=0

D=b^2-4ac(D-дискриминант)

D=(17)^2-4×1×(-110)=289+440=729>0

Х1, 2=-b+-корень из D/2a

X1=-17+27/2×1=10/2=5

X2=-17-27/2×1=-44/2=-22-не является нашим корнем, т. к.по условию х>0

Т.е наш корень 5>0

Вас заинтересует