Задача по геометрии!!! Решат только самые умные, добрые и отзывчивые! Я в вас верю, помогите, знатоки!!!!)))
Приложения:

Ответы
Ответ дал:
1
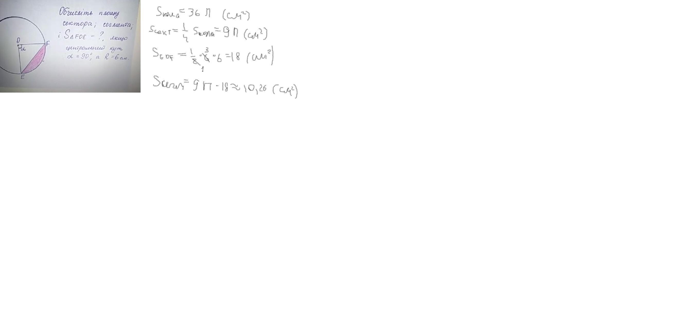
Ответ:
Площа сектора=9п
Площа сегмента= 9п-18= 10,26
Площа трикутника=18
Объяснение:
Приложения:


Elisabeth1845:
А можешь, пожалуйста, полное решение написать? От куда, как и почему так вышло...
Ответ дал:
0
Ответ:
Объяснение:
Sзакр.части = Sсектр - S∆
Sсектр=πR^2/360 *90
S∆ = 1/2 R^2
Sзакр.части= R^2(π/4 - 1/2)=
Sзакр.части = 0,25R^2(π-2)
Подставляем и считаем.
Вас заинтересует
2 года назад
2 года назад
2 года назад
2 года назад
8 лет назад
8 лет назад
9 лет назад