• Предмет: Математика
  • Автор: oleksanderbizhik
  • Вопрос задан 3 года назад

СРОЧНО!!!
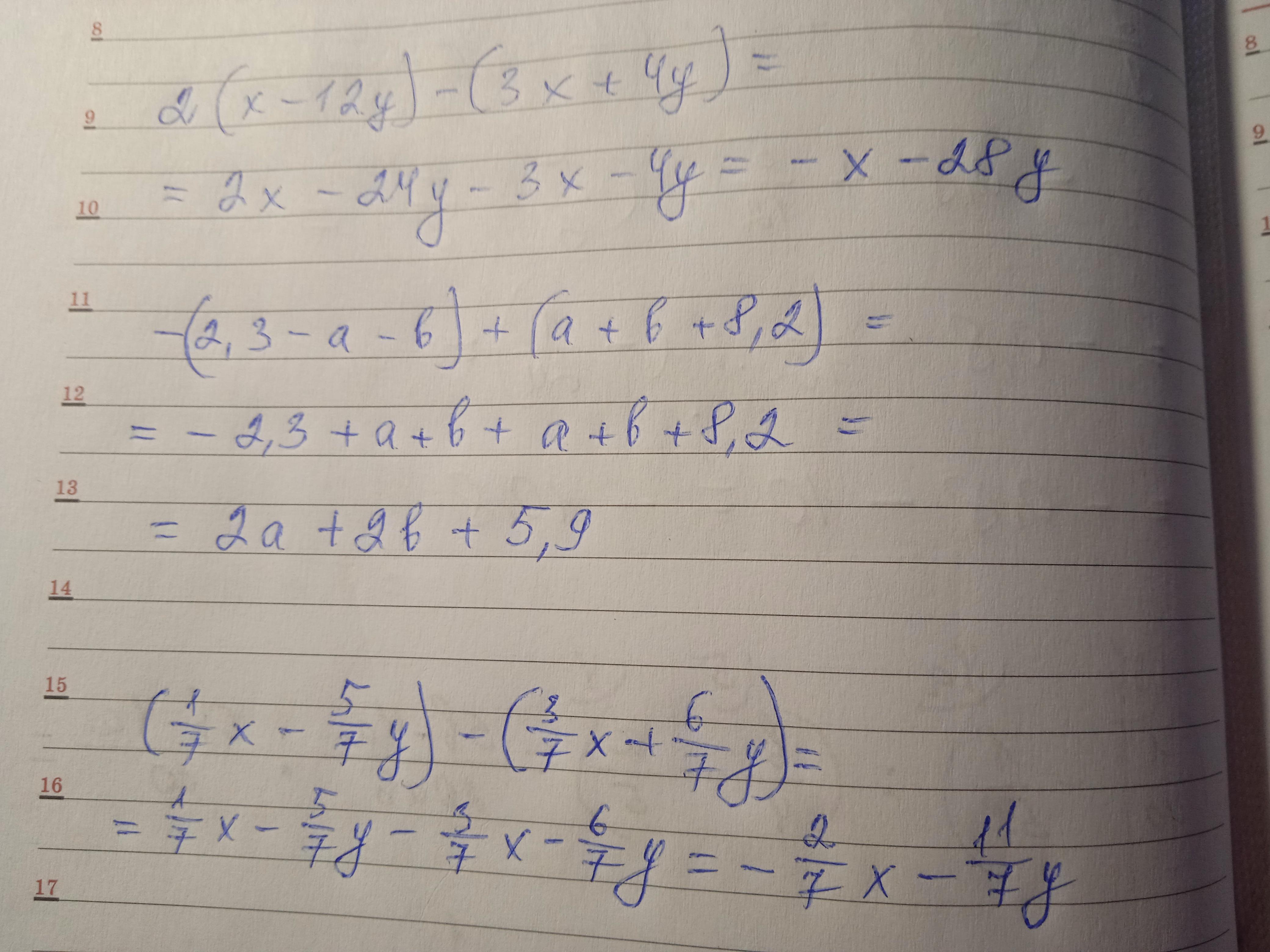
2(x-12y)-(3x+4y)
-(2,3-a-b)+(a+b+8,2)
(1/7x-5/7y)-(3/7x+6/7y)​

Ответы

Ответ дал: Пеппер
1

Пошаговое объяснение:

решение смотрите на фото

Приложения:
Вас заинтересует